Von Mises Stress (API-2RD Method)

<< Click to Display Table of Contents >>

Navigation:  Flexcom > Theory > Postprocessing > Force and Stress Outputs >

Von Mises Stress (API-2RD Method)

Previous pageNext page

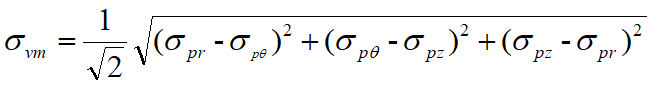
The API-2RD procedure states that for plain round pipe, where transverse shear and torsion are negligible, the three principal stress components are , and , where r, θ, and z refer to radial, hoop, and axial stress. So σvm is defined as follows:

               (1)

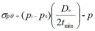
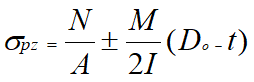
Moreover, for a thick walled pipe, the radial, hoop, and axial stress may be defined as follows:

               (2)

       (3)

               (4)

Here, t and tmin are the nominal and minimum wall thicknesses, respectively. t is defined as:

                       (5)

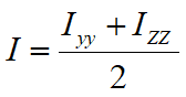
while tmin is the user-specified minimum wall thickness which defaults to t if omitted. M and I are the resultant bending moments and average second moments of area, respectively. M and I are defined as follows:

       (6)

               (7)