Plasticity Related Ouputs

<< Click to Display Table of Contents >>

Navigation:  Flexcom > Theory > Postprocessing > Force and Stress Outputs >

Plasticity Related Ouputs

Previous pageNext page

The primary outputs consist of axial strains and curvatures, such as:

1.Plastic Axial Strain and Equivalent Plastic Axial Strain

2.Plastic Local-Y and Local-Z Curvatures and Equivalent Plastic Curvature.

The primary outputs are computed during the analysis and stored into the force database file, as required.

The secondary outputs consist of:

1.Plastic Resultant Curvature - defined as the magnitude of the plastic local-y and local-z curvatures.

2.Plastic Bending Radius - defined as the inverse of the plastic resultant curvature.

3.Plastic Bending Strain - defined similarly to the bending strain, substituting plastic local-y and local-z curvatures for local-y and local-z curvatures.

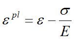
4.Plastic Longitudinal Strain - defined as the difference between longitudinal strain and the ratio of longitudinal stress to Young's modulus (1)

(1)